Access Answers of Maths NCERT class 10 Chapter 2 – Polynomials
Exercise 2.1 Page: 28
1. The graphs of y = p(x) are given in Fig. 2.10 below, for some polynomials p(x). Find the number of zeroes of p(x), in each case.

Solutions:
Graphical method to find zeroes:-
Total number of zeroes in any polynomial equation = total number of times the curve intersects x-axis.
- In the given graph, the number of zeroes of p(x) is 0 because the graph is parallel to x-axis does not cut it at any point.
- In the given graph, the number of zeroes of p(x) is 1 because the graph intersects the x-axis at only one point.
- In the given graph, the number of zeroes of p(x) is 3 because the graph intersects the x-axis at any three points.
- In the given graph, the number of zeroes of p(x) is 2 because the graph intersects the x-axis at two points.
- In the given graph, the number of zeroes of p(x) is 4 because the graph intersects the x-axis at four points.
- In the given graph, the number of zeroes of p(x) is 3 because the graph intersects the x-axis at three points.
Class 10 Maths Chapter 2 Exercise 2.2 Page: 33
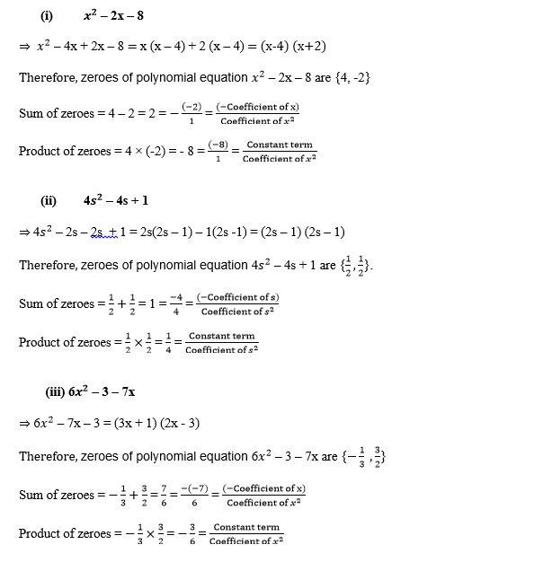
1. Find the zeroes of the following quadratic polynomials and verify the relationship between the zeroes and the coefficients.
Solutions:


2. Find a quadratic polynomial each with the given numbers as the sum and product of its zeroes respectively.
(i)1/4,-1
Solution:

(ii)√2,1/3
Solution:

(iii) 0,√5

(iv)1, 1

(v)-1/4,1/4
Solution:

(vi) 4, 1
Solution:

Class 10 Maths Chapter 2 Exercise 2.3 Page: 36
2. Check whether the first polynomial is a factor of the second polynomial by dividing the second polynomial by the first polynomial:
(i)t2-3, 2t4+3t3-2t2-9t-12 ,
Solutions: Given,
First polynomial = t2 – 3
Second polynomial = 2t4 + 3t3-2t2-9t-12

(ii) x2+3x+1, 3x4+5x3-7x2+2x+2,
Solutions: Given,
First polynomial = x2+3x+1
Second polynomial = 3x4+5x3-7x2+2x+2

(iii)x3-3x+1, x5-4x3+x2+3x+1 ,
Solutions: Given,
First polynomial = x3-3x+1
Second polynomial = x5-4x3+x2+3x+1

3. Obtain all other zeroes of, if two of its zeroes are √5/3 and -√5/3.
Solutions: Since this is a polynomial equation of degree 4, hence there will be total 4 roots.

(3x2−5)=0, is a factor of given polynomial f(x).
Now, when we will divide f(x) by (3x2−5) the quotient obtained will also be a factor of f(x) and the remainder will be 0.

Therefore, 3x4 + 6x3 − 2x2 − 10x – 5 = (3x2 – 5) (x2 + 2x +1)
Now, on further factorizing (x2 + 2x +1) we get,
x2 + 2x +1 = x2 + x + x +1 = 0
x(x + 1) + 1(x+1) = 0
(x+1) (x+1) = 0
So, its zeroes are given by: x= −1 and x = −1.
Therefore, all four zeroes of given polynomial equation are:
√5/3, -√5/3, −1 and −1.
Hence, is the answer.
4. On dividing by a polynomial g(x), the quotient and remainder were x – 2 and –2x + 4, respectively. Find g(x).
Solutions: Given,
Dividend, p(x) = x3-3x2+x+2
Quotient = x-2
Remainder = –2x + 4
We have to find the value of Divisor, g(x) =?
As we know,
Dividend = Divisor × Quotient + Remainder
∴ x3-3x2+x+2 = g(x) × (x-2) + (–2x + 4)
x3-3x2+x+2 –(–2x + 4) = g(x) × (x-2)
Therefore, g(x) × (x-2) = x3-3x2+x-2
Now, for finding g(x) we will divide x3-3x2+x-2 with (x-2)

Therefore, g(x) = (x2– x +1)
5. Give examples of polynomials p(x), g(x), q(x) and r(x), which satisfy the division algorithm and
(i) deg p(x) = deg q(x)
(ii) deg q(x) = deg r(x)
(iii) deg r(x) = 0
Solutions: According to the division algorithm, dividend p(x) and divisor g(x) are two polynomials, where g(x)≠0. Then we can find the value of quotient q(x) and remainder r(x), with the help of below given formula;
Dividend = Divisor × Quotient + Remainder
∴ p(x) = g(x) × q(x) + r(x)
Where r(x) = 0 or degree of r(x)< degree of g(x).
Now let us proof the three given cases as per division algorithm by taking examples for each.
(i): deg p(x) = deg q(x)
Degree of dividend is equal to degree of quotient, only when the divisor is a constant term.
Let us take an example, 3 is a polynomial to be divided by 3.
So, 3= q(x)
Thus, you can see, the degree of quotient is equal to the degree of dividend.
Hence, division algorithm is satisfied here.
(ii): deg q(x) = deg r(x)
Let us take an example,p(x)= is a polynomial to be divided by g(x)=x.
So, = x = q(x)
Also, remainder, r(x) = x
Thus, you can see, the degree of quotient is equal to the degree of remainder.
Hence, division algorithm is satisfied here.
(iii): deg r(x) = 0
The degree of remainder is 0 only when the remainder left after division algorithm is constant.
Let us take an example, p(x)= is a polynomial to be divided by g(x)=x.
So, = x = q(x)
And r(x)=1
Clearly, the degree of remainder here is 0.
Hence, division algorithm is satisfied here.
Class 10 Maths Chapter 2 Exercise 2.4 Page: 36
1. Verify that the numbers given alongside of the cubic polynomials below are their zeroes. Also verify the relationship between the zeroes and the coefficients in each case:
(i) 2x3+x2– 5x + 2; 1/2,1,-2

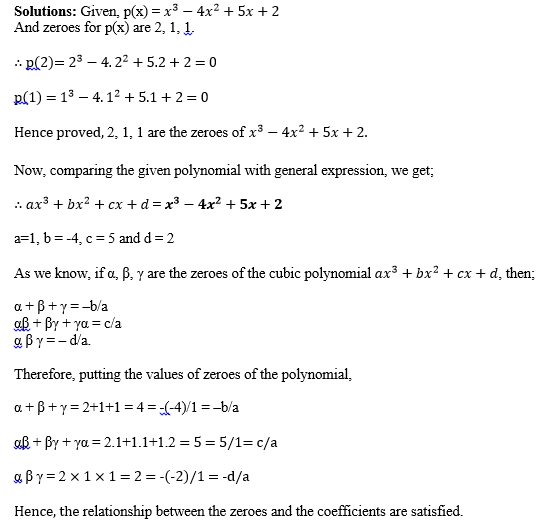
(ii)x3-4x2+5x+2 ; 2, 1, 1

2. Find a cubic polynomial with the sum, sum of the product of its zeroes taken two at a time, and the product of its zeroes as 2, –7, –14 respectively.

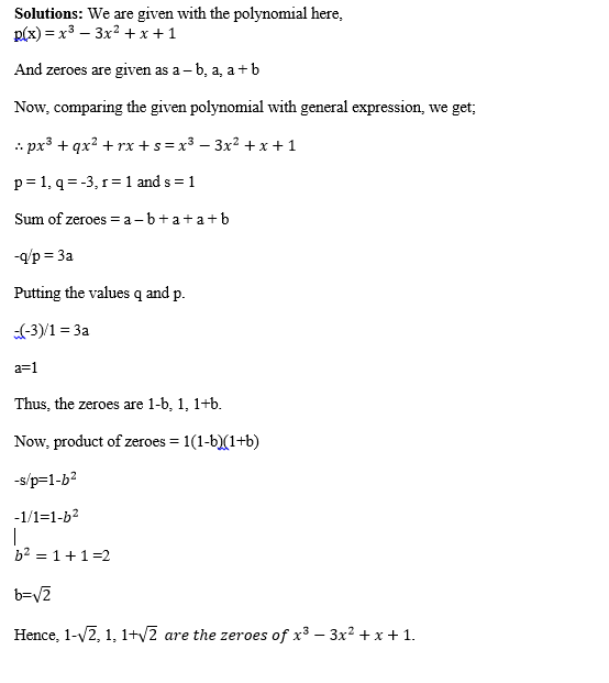
3. If the zeroes of the polynomial x3-3x2+x+1 are a–b, a, a + b, find a and b.

4. If two zeroes of the polynomial x4-6x3-26x2+138x-35 are 2 ± √3find other zeroes.

Now, if we will divide f(x) by g(x), the quotient will also be a factor of f(x) and the remainder will be 0.

So, = x4-6x3-26x2+138x-35 = (x2-4x+1)(x2–2x−35)
Now, on further factorizing (x2–2x−35) we get,
x2–(7−5)x−35 = x2–7x + 5x +35 = 0
x(x − 7) + 5 (x−7) = 0
(x+5)(x−7) = 0
So, its zeroes are given by:
x= −5 and x = 7.
Therefore, all four zeroes of given polynomial equation are: 2 +√3 , 2 -√3 , −5 and 7.
Comments
Post a Comment